Описание
Krótki opis
SWIMBOX to powierzchniowa pompa basenowa ze zintegrowanym filtrem piaskowym, przeznaczona do cyrkulacji i filtracji wody w basenach ogrodowych oraz spa. Zapewnia skuteczne usuwanie zanieczyszczeń, stabilne ciśnienie pracy i komfortową eksploatację przez cały sezon kąpielowy.
Dla kogo
- Właściciele przydomowych basenów ogrodowych – dla utrzymania klarownej, higienicznej wody przy codziennym użytkowaniu.
- Użytkownicy jacuzzi i małych spa – dla stałej filtracji wody i ograniczenia ręcznego czyszczenia instalacji.
- Firmy montujące baseny i instalacje ogrodowe – jako kompletne, łatwe w montażu rozwiązanie filtracyjne z pompą basenową SWIMBOX.
- Obiekty rekreacyjne z mniejszymi zbiornikami wodnymi – do niezawodnej cyrkulacji i filtracji przy umiarkowanym obciążeniu.
- Osoby poszukujące prostego w obsłudze zestawu pompa + filtr piaskowy – dla zwiększenia bezpieczeństwa i komfortu kąpieli.
Zastosowanie
- Cyrkulacja i filtracja wody w przydomowych basenach z użyciem filtra piaskowego oraz pompy basenowej SWIMBOX.
- Utrzymanie czystości wody w jacuzzi i małych instalacjach ogrodowych poprzez stały obieg i filtrację przez złoże piaskowe.
- Praca w instalacjach basenowych z temperaturą wody od 5°C do 40°C, z zasilaniem jednofazowym 230 V.
- Usuwanie zanieczyszczeń mechanicznych, drobnych cząstek organicznych i pyłów z wody basenowej dzięki odpowiednio dobranemu ciśnieniu i wydajności.
Pompa basenowa SWIMBOX z filtrem piaskowym to kompletne rozwiązanie do filtracji i cyrkulacji wody w basenie ogrodowym.
Cechy, opis i dane techniczne
SWIMBOX to pompa do basenów ze zbiornikiem filtracyjnym, przeznaczona do wstępnego filtrowania i recyrkulacji wody w basenach i spa. Urządzenie zasysa wodę ze skimmera lub spływu dennego, kieruje ją do filtra piaskowego, a następnie tłoczy z powrotem do niecki basenu już po procesie oczyszczania. Wewnątrz zbiornika filtracyjnego woda przepływa przez warstwę piasku kwarcowego, który zatrzymuje brud, pył i drobne cząstki organiczne, zapewniając klarowną i świeżą wodę.
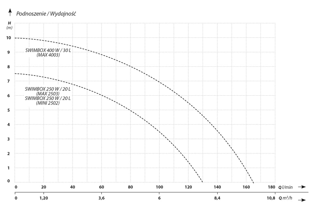
W serii SWIMBOX dostępne są modele z mocą silnika 250 W (zbiornik 20 l – wersje MINI 2502 i MAX 2503) oraz 400 W (zbiornik 30 l – MAX 4003). Maksymalne podnoszenie wynosi 7,5 m dla wersji 250 W oraz 10 m dla wersji 400 W, przy wydajnościach odpowiednio do 130 l/min i 165 l/min. Zasilanie urządzeń odbywa się z sieci 230 V, a stopień ochrony obudowy pompy to IPX5, co umożliwia bezpieczną pracę w warunkach zewnętrznych przy zachowaniu zasad montażu.
Pompy basenowe SWIMBOX współpracują ze zbiornikami filtracyjnymi o pojemności 20 l lub 30 l, z efektywną powierzchnią filtracji 0,07 m² lub 0,09 m². Zbiornik 20 l wypełnia się ok. 13 kg piasku kwarcowego lub 400 g kulek filtrujących, natomiast zbiornik 30 l – ok. 25 kg piasku lub 800 g kulek filtrujących, przy zalecanej wielkości ziaren piasku kwarcowego 0,5–1,2 mm. Piasek i kulki filtrujące nie są elementem zestawu i należy je dobrać oraz dosypać osobno.
Dla modelu SWIMBOX 250 W / 20 l (MAX 2503) oraz SWIMBOX 250 W / 20 l (MINI 2502) maksymalne podnoszenie wynosi 7,5 m, przy wydajności do 130 l/min i poborze mocy 250 W. Wersje te różnią się głównie wymiarami: MAX 2503 – ok. 630 × 420 × 480 mm i masa 10 kg, MINI 2502 – ok. 630 × 300 × 480 mm i masa 9,8 kg. Model SWIMBOX 400 W / 30 l (MAX 4003) oferuje podnoszenie do 10 m, wydajność do 165 l/min, moc 400 W, wymiary ok. 730 × 420 × 500 mm i masę 10,6 kg.
Wszystkie warianty SWIMBOX wyposażone są w króćce przyłączeniowe 1 1/2" GW/GZ, co ułatwia włączenie zestawu w typowe instalacje basenowe. Zalecane ciśnienie płukania wstecznego mieści się w przedziale 0,45–0,5 bara dla modeli 250 W oraz 0,65–0,7 bara dla modelu 400 W; po osiągnięciu tych wartości na manometrze należy przeprowadzić płukanie wsteczne filtra. Urządzenie przeznaczone jest do pracy z wodą basenową w zakresie temperatur 5–40°C, z zachowaniem odpowiednich norm bezpieczeństwa dla instalacji basenowych.
Instrukcja obsługi podkreśla konieczność wykonywania montażu i konserwacji przez osoby wykwalifikowane, przy uprzednim odłączeniu pompy od zasilania. Producent zaleca stosowanie wyłącznika różnicowoprądowego (RCD) o prądzie zadziałania nieprzekraczającym 30 mA, a także unikanie pracy na sucho oraz serwisowania instalacji pod ciśnieniem. Pompa powinna być instalowana w stabilnym miejscu, zabezpieczonym przed zalaniem i zgodnym z wytycznymi dla obiektów basenowych.
Sprzęt nie jest przeznaczony do użytkowania przez osoby bez odpowiedniego przygotowania bez nadzoru, a dzieci nie powinny wykonywać czynności serwisowych. Zbiorniki filtracyjne pracują pod ciśnieniem, dlatego wszelkie prace przy układzie filtrowania należy prowadzić zgodnie z instrukcją, aby uniknąć ryzyka uszkodzeń, rozszczelnienia czy gwałtownego uwolnienia sprężonego powietrza. Gwarancja dla urządzeń marki IBO, do której należy linia SWIMBOX, wynosi 24 miesiące.
Skontaktuj się po szczegóły do doboru pompy i filtra dla większych obiektów lub nietypowych instalacji. Dambat – zaufany producent pomp i urządzeń hydrotechnicznych z certyfikatami jakości.
Najczęściej zadawane pytania (FAQ) – do czego służy pompa SWIMBOX?
Gdzie mogę kupić pompę basenową SWIMBOX?
Gdzie mogę kupić pompę basenową SWIMBOX?
Pompy basenowe SWIMBOX są dostępne w sprzedaży online, w wybranych sklepach stacjonarnych z armaturą hydrauliczną oraz w sieciach hurtowni instalacyjnych współpracujących z marką IBO.
Czy pompa SWIMBOX jest dostępna w różnych wersjach?
Czy pompa SWIMBOX jest dostępna w różnych wersjach?
Seria SWIMBOX obejmuje modele 250 W ze zbiornikiem 20 l (MINI 2502 i MAX 2503) oraz model 400 W ze zbiornikiem 30 l (MAX 4003), różniące się wymiarami, mocą i parametrami pracy.
Do czego można używać pomp SWIMBOX?
Do czego można używać pomp SWIMBOX?
Pompy SWIMBOX są przeznaczone do cyrkulacji i filtracji wody w przydomowych basenach, spa i jacuzzi, współpracując z filtrem piaskowym do usuwania zanieczyszczeń mechanicznych.
Czym pompa basenowa SWIMBOX różni się od standardowej pompy ogrodowej?
Czym pompa basenowa SWIMBOX różni się od standardowej pompy ogrodowej?
SWIMBOX została zaprojektowana specjalnie do instalacji basenowych, z możliwością współpracy ze zbiornikiem filtracyjnym, odpowiednim zakresem temperatur wody i zabezpieczeniami elektrycznymi wymaganymi dla basenów.
Jak prawidłowo zainstalować pompę SWIMBOX?
Jak prawidłowo zainstalować pompę SWIMBOX?
Instalację pompy SWIMBOX należy wykonać zgodnie z instrukcją producenta, zachowując kierunek przepływu przez filtr, odpowiednie podłączenie hydrauliczne 1 1/2" oraz zasilanie 230 V (lub 400 V dla wersji 4003) z zabezpieczeniem RCD do 30 mA.
Jak często należy wykonywać płukanie wsteczne filtra?
Jak często należy wykonywać płukanie wsteczne filtra?
Płukanie wsteczne należy przeprowadzić, gdy manometr na zbiorniku filtra wskaże ciśnienie w zakresie 0,45–0,5 bara dla modeli 250 W lub 0,65–0,7 bara dla modelu 400 W, co oznacza konieczność oczyszczenia złoża piaskowego.
Jak dbać o konserwację pompy SWIMBOX?
Jak dbać o konserwację pompy SWIMBOX?
Konserwacja obejmuje regularne czyszczenie filtra, kontrolę szczelności połączeń, pracę zawsze z wodą w układzie oraz okresowe przeglądy wykonywane po odłączeniu urządzenia od zasilania przez wykwalifikowany personel.
- Подъем: 10.0 м,
- Производительность: 165.0 л/мин.,
- Мощность всасывания: м,
- Мощность: 0.4 кВт,
- Источник питания: 3~400 V,
- Частота: 50 Гц,
- Потребляемая мощность: О,
- Скорость двигателя: об/мин,
- Класс изоляции: ,
- Режим работы: ciągły,
- Степень защиты: IPX5,
- Подключение: 1½",
- Направление выхода: ,
- Рабочее положение: Pionowa,
- Максимальная температура жидкости: 40°С,
- Максимальная температура окружающей среды: °С,
- Размеры длина/высота/ширина: см,
- Вес: 10.6 кг,
Krótki opis
SWIMBOX to powierzchniowa pompa basenowa ze zintegrowanym filtrem piaskowym, przeznaczona do cyrkulacji i filtracji wody w basenach ogrodowych oraz spa. Zapewnia skuteczne usuwanie zanieczyszczeń, stabilne ciśnienie pracy i komfortową eksploatację przez cały sezon kąpielowy.
Dla kogo
- Właściciele przydomowych basenów ogrodowych – dla utrzymania klarownej, higienicznej wody przy codziennym użytkowaniu.
- Użytkownicy jacuzzi i małych spa – dla stałej filtracji wody i ograniczenia ręcznego czyszczenia instalacji.
- Firmy montujące baseny i instalacje ogrodowe – jako kompletne, łatwe w montażu rozwiązanie filtracyjne z pompą basenową SWIMBOX.
- Obiekty rekreacyjne z mniejszymi zbiornikami wodnymi – do niezawodnej cyrkulacji i filtracji przy umiarkowanym obciążeniu.
- Osoby poszukujące prostego w obsłudze zestawu pompa + filtr piaskowy – dla zwiększenia bezpieczeństwa i komfortu kąpieli.
Zastosowanie
- Cyrkulacja i filtracja wody w przydomowych basenach z użyciem filtra piaskowego oraz pompy basenowej SWIMBOX.
- Utrzymanie czystości wody w jacuzzi i małych instalacjach ogrodowych poprzez stały obieg i filtrację przez złoże piaskowe.
- Praca w instalacjach basenowych z temperaturą wody od 5°C do 40°C, z zasilaniem jednofazowym 230 V.
- Usuwanie zanieczyszczeń mechanicznych, drobnych cząstek organicznych i pyłów z wody basenowej dzięki odpowiednio dobranemu ciśnieniu i wydajności.
Pompa basenowa SWIMBOX z filtrem piaskowym to kompletne rozwiązanie do filtracji i cyrkulacji wody w basenie ogrodowym.
Cechy, opis i dane techniczne
SWIMBOX to pompa do basenów ze zbiornikiem filtracyjnym, przeznaczona do wstępnego filtrowania i recyrkulacji wody w basenach i spa. Urządzenie zasysa wodę ze skimmera lub spływu dennego, kieruje ją do filtra piaskowego, a następnie tłoczy z powrotem do niecki basenu już po procesie oczyszczania. Wewnątrz zbiornika filtracyjnego woda przepływa przez warstwę piasku kwarcowego, który zatrzymuje brud, pył i drobne cząstki organiczne, zapewniając klarowną i świeżą wodę.
W serii SWIMBOX dostępne są modele z mocą silnika 250 W (zbiornik 20 l – wersje MINI 2502 i MAX 2503) oraz 400 W (zbiornik 30 l – MAX 4003). Maksymalne podnoszenie wynosi 7,5 m dla wersji 250 W oraz 10 m dla wersji 400 W, przy wydajnościach odpowiednio do 130 l/min i 165 l/min. Zasilanie urządzeń odbywa się z sieci 230 V, a stopień ochrony obudowy pompy to IPX5, co umożliwia bezpieczną pracę w warunkach zewnętrznych przy zachowaniu zasad montażu.
Pompy basenowe SWIMBOX współpracują ze zbiornikami filtracyjnymi o pojemności 20 l lub 30 l, z efektywną powierzchnią filtracji 0,07 m² lub 0,09 m². Zbiornik 20 l wypełnia się ok. 13 kg piasku kwarcowego lub 400 g kulek filtrujących, natomiast zbiornik 30 l – ok. 25 kg piasku lub 800 g kulek filtrujących, przy zalecanej wielkości ziaren piasku kwarcowego 0,5–1,2 mm. Piasek i kulki filtrujące nie są elementem zestawu i należy je dobrać oraz dosypać osobno.
Dla modelu SWIMBOX 250 W / 20 l (MAX 2503) oraz SWIMBOX 250 W / 20 l (MINI 2502) maksymalne podnoszenie wynosi 7,5 m, przy wydajności do 130 l/min i poborze mocy 250 W. Wersje te różnią się głównie wymiarami: MAX 2503 – ok. 630 × 420 × 480 mm i masa 10 kg, MINI 2502 – ok. 630 × 300 × 480 mm i masa 9,8 kg. Model SWIMBOX 400 W / 30 l (MAX 4003) oferuje podnoszenie do 10 m, wydajność do 165 l/min, moc 400 W, wymiary ok. 730 × 420 × 500 mm i masę 10,6 kg.
Wszystkie warianty SWIMBOX wyposażone są w króćce przyłączeniowe 1 1/2" GW/GZ, co ułatwia włączenie zestawu w typowe instalacje basenowe. Zalecane ciśnienie płukania wstecznego mieści się w przedziale 0,45–0,5 bara dla modeli 250 W oraz 0,65–0,7 bara dla modelu 400 W; po osiągnięciu tych wartości na manometrze należy przeprowadzić płukanie wsteczne filtra. Urządzenie przeznaczone jest do pracy z wodą basenową w zakresie temperatur 5–40°C, z zachowaniem odpowiednich norm bezpieczeństwa dla instalacji basenowych.
Instrukcja obsługi podkreśla konieczność wykonywania montażu i konserwacji przez osoby wykwalifikowane, przy uprzednim odłączeniu pompy od zasilania. Producent zaleca stosowanie wyłącznika różnicowoprądowego (RCD) o prądzie zadziałania nieprzekraczającym 30 mA, a także unikanie pracy na sucho oraz serwisowania instalacji pod ciśnieniem. Pompa powinna być instalowana w stabilnym miejscu, zabezpieczonym przed zalaniem i zgodnym z wytycznymi dla obiektów basenowych.
Sprzęt nie jest przeznaczony do użytkowania przez osoby bez odpowiedniego przygotowania bez nadzoru, a dzieci nie powinny wykonywać czynności serwisowych. Zbiorniki filtracyjne pracują pod ciśnieniem, dlatego wszelkie prace przy układzie filtrowania należy prowadzić zgodnie z instrukcją, aby uniknąć ryzyka uszkodzeń, rozszczelnienia czy gwałtownego uwolnienia sprężonego powietrza. Gwarancja dla urządzeń marki IBO, do której należy linia SWIMBOX, wynosi 24 miesiące.
Skontaktuj się po szczegóły do doboru pompy i filtra dla większych obiektów lub nietypowych instalacji. Dambat – zaufany producent pomp i urządzeń hydrotechnicznych z certyfikatami jakości.
Najczęściej zadawane pytania (FAQ) – do czego służy pompa SWIMBOX?
Gdzie mogę kupić pompę basenową SWIMBOX?
Gdzie mogę kupić pompę basenową SWIMBOX?
Pompy basenowe SWIMBOX są dostępne w sprzedaży online, w wybranych sklepach stacjonarnych z armaturą hydrauliczną oraz w sieciach hurtowni instalacyjnych współpracujących z marką IBO.
Czy pompa SWIMBOX jest dostępna w różnych wersjach?
Czy pompa SWIMBOX jest dostępna w różnych wersjach?
Seria SWIMBOX obejmuje modele 250 W ze zbiornikiem 20 l (MINI 2502 i MAX 2503) oraz model 400 W ze zbiornikiem 30 l (MAX 4003), różniące się wymiarami, mocą i parametrami pracy.
Do czego można używać pomp SWIMBOX?
Do czego można używać pomp SWIMBOX?
Pompy SWIMBOX są przeznaczone do cyrkulacji i filtracji wody w przydomowych basenach, spa i jacuzzi, współpracując z filtrem piaskowym do usuwania zanieczyszczeń mechanicznych.
Czym pompa basenowa SWIMBOX różni się od standardowej pompy ogrodowej?
Czym pompa basenowa SWIMBOX różni się od standardowej pompy ogrodowej?
SWIMBOX została zaprojektowana specjalnie do instalacji basenowych, z możliwością współpracy ze zbiornikiem filtracyjnym, odpowiednim zakresem temperatur wody i zabezpieczeniami elektrycznymi wymaganymi dla basenów.
Jak prawidłowo zainstalować pompę SWIMBOX?
Jak prawidłowo zainstalować pompę SWIMBOX?
Instalację pompy SWIMBOX należy wykonać zgodnie z instrukcją producenta, zachowując kierunek przepływu przez filtr, odpowiednie podłączenie hydrauliczne 1 1/2" oraz zasilanie 230 V (lub 400 V dla wersji 4003) z zabezpieczeniem RCD do 30 mA.
Jak często należy wykonywać płukanie wsteczne filtra?
Jak często należy wykonywać płukanie wsteczne filtra?
Płukanie wsteczne należy przeprowadzić, gdy manometr na zbiorniku filtra wskaże ciśnienie w zakresie 0,45–0,5 bara dla modeli 250 W lub 0,65–0,7 bara dla modelu 400 W, co oznacza konieczność oczyszczenia złoża piaskowego.
Jak dbać o konserwację pompy SWIMBOX?
Jak dbać o konserwację pompy SWIMBOX?
Konserwacja obejmuje regularne czyszczenie filtra, kontrolę szczelności połączeń, pracę zawsze z wodą w układzie oraz okresowe przeglądy wykonywane po odłączeniu urządzenia od zasilania przez wykwalifikowany personel.



